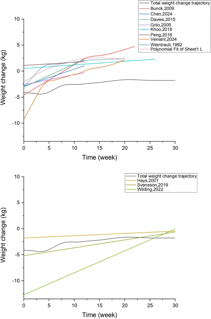
Một nghiên cứu gần đây đã chỉ ra rằng việc sử dụng thuốc chống béo phì (AOMs) có thể dẫn đến giảm cân đáng kể trong thời gian điều trị. Tuy nhiên, tình trạng tăng cân trở lại sau khi ngừng sử dụng AOMs vẫn còn là một vấn đề được quan tâm rộng rãi. Để đánh giá tác động lâu dài của AOMs lên cân nặng và theo dõi sự thay đổi cân nặng sau khi ngừng điều trị, nghiên cứu này đã tiến hành phân tích dữ liệu từ 11 nghiên cứu lâm sàng ngẫu nhiên có đối chứng (RCTs).

Kết quả cho thấy rằng, so với nhóm đối chứng, AOMs vẫn có tác dụng giảm cân 4 tuần sau khi ngừng điều trị. Cụ thể, phân tích thống kê cho thấy sự chênh lệch về cân nặng giữa nhóm sử dụng AOMs và nhóm đối chứng là -0,32 kg, với khoảng tin cậy 95% là -3,60 đến 2,97. Tuy nhiên, đáng chú ý là mức độ tương thích giữa các nghiên cứu là khá cao, với chỉ số I2 là 83% và giá trị P là 0,85.

Tuy nhiên, từ tuần thứ 8 trở đi, AOMs có liên quan đến tình trạng tăng cân đáng kể so với nhóm đối chứng. Sự chênh lệch về cân nặng giữa nhóm sử dụng AOMs và nhóm đối chứng trong giai đoạn này là 1,50 kg, với khoảng tin cậy 95% là 1,32 đến 1,68. Điều này cho thấy rằng sau một thời gian ngừng sử dụng AOMs, cân nặng của bệnh nhân có xu hướng tăng trở lại.

Để hiểu rõ hơn về tác động lâu dài của AOMs lên cân nặng, các nhà nghiên cứu đã tiến hành phân tích sâu hơn về dữ liệu từ các nghiên cứu lâm sàng. Kết quả phân tích cho thấy rằng, mặc dù AOMs có thể dẫn đến giảm cân đáng kể trong thời gian điều trị, nhưng tình trạng tăng cân trở lại sau khi ngừng sử dụng AOMs vẫn còn là một thách thức cần được giải quyết.

Nhìn chung, nghiên cứu này đã cung cấp bằng chứng quan trọng về tác động lâu dài của AOMs lên cân nặng. Kết quả cho thấy rằng AOMs có thể dẫn đến giảm cân đáng kể trong thời gian điều trị, nhưng tình trạng tăng cân trở lại sau khi ngừng sử dụng AOMs vẫn còn là một vấn đề cần được quan tâm. Để đạt được kết quả giảm cân lâu dài, cần phải kết hợp việc sử dụng AOMs với các biện pháp khác, chẳng hạn như thay đổi lối sống và chế độ ăn uống lành mạnh.